ABORDAJE DIDÁCTICO DEL FENÓMENO DE CONSOLIDACIÓN UNIDIMENSIONAL DE LOS SUELOS DESDE UN ENFOQUE MATEMÁTICO CON BASAMENTO EN EL PRINCIPIO DE ESFUERZOS EFECTIVOS Y LA LEY DE PERMEABILIDAD DE DARCY. PARTE II

in #stem-espanol7 years ago (edited)

INTRODUCCIÓN

En la entrega anterior (ver ref. 04), dimos inicio al abordaje matemático-conceptual del fenómeno de consolidación unidimensional de los suelos, donde destacan como principales ideas, el hecho de considerarlos en una condición saturada y de concebir los asentamientos verticales que ocurren diferidos al tiempo de aplicación de las cargas, como una consecuencia de disipación de la presión en exceso a la hidrostática “u”; lo cual se materializa en agua que es expulsada del suelo en cuestión, con una dirección de flujo en sentido vertical, hecho que provoca en la misma proporción que ocurre, el incremento de los esfuerzos efectivos “σ’” y por consiguiente los asentamientos anteriormente descritos. El fenómeno de consolidación unidimensional de los suelos, está por lo tanto íntimamente vinculado a la variación del exceso de la presión a la hidrostática “u”; una variación que está influenciada por el tiempo que ha pasado posterior a la aplicación de las cargas, y por la profundidad “z” del estrato que se esté analizando.

Imagen N°01: una visión global de los contenidos a abordar
picture 02 corregida.png

Fuente: @eliaschess333, año: 2018. Nota: esquema conceptual elaborado por el autor, con ayuda de las herramientas Microsoft PowerPoint y Paint.

Lo anteriormente expuesto, constituye las principales hipótesis de partida, que permitieron a Terzaghi el desarrollo de la “Ecuación Diferencial del Proceso de Consolidación Unidimensional con Flujo Vertical”:

picture 01.png

Esta ecuación es presentada de una forma alternativa, tal como se aprecia en el esquema conceptual de la imagen N°01, y es el punto de partida para deleitarnos con los aportes de las matemáticas enmarcados en la aplicación de técnicas de resolución de ecuaciones diferenciales homogéneas con coeficientes constantes y así posteriormente aplicar las series de Fourier para determinar los valores de las constantes de integración involucradas; todos estos procedimientos los estaremos desarrollando con la finalidad de encontrar la solución analítica de la ecuación N°01, y así seguir profundizando en este interesante fenómeno de importancia en la ingeniería geotécnica, como lo es la consolidación unidimensional de los suelos.

UNA VISIÓN DIDÁCTICA DEL ESTABLECIMIENTO DE LAS CONDICIONES DE BORDE

Dado que deseamos resolver de forma analítica la ecuación N°01, es necesario establecer unas condiciones de borde, lo cual orientará los procesos de cálculo diferencial que desarrollaremos en líneas posteriores. Para tal fin, tomemos como referencia el esquema conceptual de la imagen N°02:

Imagen N°02: ilustración didáctica de la condición frontera “u=0” para “z=0 y z=2H”
picture 03.png

Fuente: @eliaschess333, año: 2018. Nota: esquema conceptual elaborado por el autor, con ayuda de las herramientas Microsoft PowerPoint y Paint.

Esta primera condición de borde, establece que tiempo después de aplicada la carga “∆σ”, el exceso de presión a la hidrostática “u” en la parte superior e inferior de un estrato que se supone drenado por ambas caras, es cero; hecho que se puede interpretar fácilmente, asociándolo con una salida de agua, la cual ocurre gradualmente por la baja permeabilidad de los suelos que experimentan este fenómeno, como por ejemplo, las arcillas. En el eje de simetría, resaltado por el color “naranja”, se supone que “u” alcanza sus valores máximos, dado que el mismo se considera impermeable, lo cual es un criterio aceptable, ya que el agua tiene dos posibles trayectorias de salida, debido a que el estrato está drenado por ambas caras. La otra condición frontera de importancia se ilustra en el esquema conceptual de la imagen N°03:

Imagen N°03: ilustración didáctica de la condición frontera “u=∆σ” para “t=0 y 0<z<2H”
picture 04.png

Fuente: @eliaschess333, año: 2018. Nota: esquema conceptual elaborado por el autor, con ayuda de las herramientas Microsoft PowerPoint y Paint.

Para comprender esta condición, tomemos como referencia la analogía mecánica de Terzaghi, sobre la que puedes profundizar en la referencia N°04 donde realicé un video explicativo al respecto. Se tiene entonces que al aplicar las cargas “∆σ”, en un instante de tiempo teóricamente igual a “cero”, el agua que satura el estrato de suelo se presuriza, es decir, surge una presión en exceso a la hidrostática “u”, que se distribuye uniformemente en el mismo. Esto tiende a ocurrir en suelos de naturaleza arcillosa producto de su baja permeabilidad, siendo muy difícil una expulsión inmediata de agua, hecho que constituye, el sustento de la hipótesis anteriormente planteada. Una vez comprendida la lógica de las condiciones de borde, adentrémonos en la solución analítica de la ecuación N°01.

APLICACIÓN DE LA TÉCNICA DE RESOLUCIÓN DE ECUACIONES DIFERENCIALES HOMOGÉNEAS CON COEFICIENTES CONSTANTES

Lo anteriormente expuesto, permite establecer que “u” depende de la profundidad “z” y del tiempo “t”, lo cual podemos representar de la siguiente forma:

picture 05.png

Esta ecuación sirve de base para reescribir la ecuación N°01, procedimiento que se ilustra en el esquema conceptual de la imagen N°04:

Imagen N°04: rescribiendo la ecuación diferencial de consolidación unidimensional
picture 06.png

Fuente: @eliaschess333, año: 2018. Nota: esquema conceptual elaborado por el autor, con ayuda de las herramientas Microsoft PowerPoint y Paint.

Basados en la forma alternativa de presentar la ecuación N°01, la misma puede ser rescrita de la siguiente manera:

picture 07.png

El término resaltado en color “rojo” en la ecuación N°03, es una constante que se puede introducir, fundamentándonos en la igualdad que existe entre los cocientes resaltados por el color “naranja”. Esto contribuye al surgimiento de las siguientes ecuaciones:

picture 08.png

Las ecuaciones resaltadas en color “azul”, son ecuaciones diferenciales homogéneas con coeficientes constantes, por lo que procedemos a aplicar las técnicas de resolución de ecuaciones diferenciales ajustadas a dicho caso.

ABORDAJE MATEMÁTICO ECUACIÓN N°04

Para tal fin nos valemos de las bondades de la función exponencial “e^x”, representadas por el hecho de que sus derivadas son múltiplos de la misma función. Por lo que para la ecuación N°04 se puede plantear como posible solución:

picture 09.png

Obtenemos la primera y segunda derivada con respecto a “z” de la ecuación N°06:

picture 10.png

Al sustituir las ecuaciones N°06 y N°08 en la N°04 obtenemos lo siguiente:

picture 11.png

Sacamos factor común:

picture 12.png

Dado que el término resaltado en color “verde” de la ecuación N°10 no se anula, para que esta se cumpla, la función auxiliar resaltada en color “rojo” debe ser cero, por lo que:

picture 13.png

Aplicamos la técnica de resolvente, para encontrar los posibles valores de “m”, donde:

a=1

b=0

c=-λ

Entonces:

picture 15.png

Sustituyendo en la ecuación N°12 tenemos:

picture 16.png

Por lo que las posibles soluciones de la ecuación N°04 vienen dadas por:

picture 17.png

Siendo la solución general la suma de ambas, y en cuyo planteamiento se introducen las constantes arbitrarias de integración:

picture 18.png

Basados en las condiciones fronteras presentadas en el esquema conceptual de la imagen N°02, y aplicadas a la ecuación N°02, se tiene:

picture 19.png

Estos resultados permiten abordar la ecuación N°14 con la finalidad de esclarecer el camino en la búsqueda de las constantes de integración “c1” y “c2”, por lo que al evaluar dicha ecuación para “z=0” se tiene:

picture 20.png

Esto permite rescribir la ecuación en cuestión de la siguiente manera:

picture 21.png

La ecuación N°18 nos permite introducir la identidad trigonométrica asociada al seno hiperbólico:

picture 22.png

Al sustituir la ecuación N°19 en la N°18, obtenemos:

picture 23.png

Basado en la condición de borde desarrollada en la ecuación N°16, sustituimos en la ecuación N°20 (ver términos resaltados en color “azul”):

picture 24.png

Estratégicamente procedemos a rescribir la ecuación N°21 de la siguiente manera:

picture 25.png

Dado que el seno hiperbólico de un argumento imaginario es el seno trigonométrico con el mismo argumento, se puede plantear como valor de “λ” el siguiente:

picture 26.png

Sustituimos este valor en la solución en la ecuación N°22:

picture 27.png

A partir de estas deducciones podemos reescribir la ecuación N°20, teniendo la precaución de colocar en el argumento de la función seno, una relación de proporcionalidad entre la profundidad de interés “z” y el espesor del estrato “2H”; esta relación se encuentra resaltada por el color “rojo”:

picture 28.png

Esta ecuación constituye una forma general de presentar la ecuación N°21. A pesar de que el término resaltado en color “naranja” aparece multiplicado por “2”, puede considerarse como la existencia de una única constante arbitraria, por lo que para hacer más cómodo el manejo de esta ecuación, al momento de sustituir en la ecuación N°02, se tiene que:

picture 29.png

ABORDAJE MATEMÁTICO ECUACIÓN N°05

De igual forma como se trató la ecuación N°04, planteamos como posible solución la siguiente:

picture 30.png

Obtenemos la primera derivada con respecto al tiempo “t”:

picture 31.png

Sustituimos las ecuaciones N°27 y N°28 en la ecuación N°05:

picture 32.png

Dado que el término exponencial no se cancela, la ecuación N°29 se satisface para cuando la función auxiliar resaltada por el color “azul” es igual a cero, por lo tanto:

picture 33.png

Por lo que:

picture 34.png

Introduciendo la constante arbitraria de integración y tomando como referencia el valor para “λ” planteado en el tópico anterior, la solución de la ecuación N°05 viene dada por:

picture 35.png

UNA VISIÓN DE LOS AVANCES LOGRADOS EN LA BÚSQUEDA DE LA SOLUCIÓN ANALÍTICA DE LA ECUACIÓN N°01

Dado que el proceso de consolidación está gobernado por las variaciones de “u” en el tiempo “t” y profundidad “z”, se procedió al desarrollo de la ecuación N°02, y de las que se presentan en el esquema conceptual de la imagen N°04. El abordaje matemático de tales ecuaciones, ha permitido obtener lo siguiente:

picture 36.png

Rescribimos:

picture 37.png

El término “An” representa las constantes arbitrarias de integración, que depende de los valores de “n”. Como se puede apreciar, el reto que a continuación sigue es encontrar el valor de “An”. Para tal fin, haremos uso de otro de los grandes aportes de las matemáticas como lo son las series de Fourier, lo cual se desarrolla a continuación:

SERIES DE FOURIER ¡AL RESCATE!

Las Matemáticas nos sorprenden con la infinidad de aplicaciones que contribuyen a una mejor comprensión de los fenómenos físicos que ocurren a nuestro alrededor, centrándonos en este caso en el fenómeno de consolidación unidimensional de los suelos. Haremos uso de las series de Fourier para finalmente dar con la solución analítica de la ecuación N°01. Para una mejor comprensión de este tópico, lo he subdivido en las siguientes partes:

UN ENFOQUE TEÓRICO-CONCEPTUAL DE LAS SERIES DE FOURIER

La presencia de derivadas parciales en la ecuación N°01 producto de que la presión en exceso a la hidrostática “u”, depende de dos variables como lo son el tiempo “t” y la profundidad “z”, y la necesidad de encontrar el valor de “An” para dar finalmente con la solución general de dicha ecuación, son situaciones que abren las puertas al uso de las series de Fourier.

En primer lugar presentemos la forma general de una serie de Fourier:

picture 38.png

Se establecen como principales hipótesis en torno a la ecuación N°35, que la suma de sus términos converge al valor de la función, y que toda la función es integrable en el rango de valores que va de “-L” a “L”, siendo el cero “0” el punto medio del intervalo y matemáticamente se expresa así:

picture 39.png

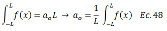
El reto es encontrar los valores de los coeficientes resaltados en color “azul” en la ecuación N°35. Para encontrar por ejemplo el coeficiente “ao” se procede a la integración de cada uno de los términos de dicha ecuación, lo cual se ilustra didácticamente en el siguiente esquema conceptual:

Imagen N°05: determinación analítica del coeficiente “ao”
picture 40.png

Fuente: @eliaschess333, año: 2018. Nota: esquema conceptual elaborado por el autor, con ayuda de las herramientas Microsoft PowerPoint y Paint.

Procedemos a resolver cada una de las integrales señaladas en la imagen N°05. Vale destacar que en el proceso de obtención de la integral definida, el término resaltado en color “verde” representa los límites de evaluación de la integral. En lo que respecta a la “integral 1” se tiene:

picture 41.png

Para el caso de la “integral 2”:

picture 42.png

Aplicamos la técnica de integral por sustitución, donde:

picture 43.png

Sustituimos las ecuaciones N°38 y N°39 en la N°37:

picture 44.png

Devolvemos el cambio, sustituyendo la ecuación N°38 en la N°40:

picture 45.png

Al ser el seno de cualquier múltiplo de “π” igual a cero, se tiene que:

picture 46.png

Algo similar ocurre en la solución de la “integral 3”:

picture 47.png

Dado que la función a integrar tiene el mismo argumento que el de la “integral 2”, podemos usar las ecuaciones N°38 y N°39 en el proceso de integración por sustitución:

picture 48.png

Devolvemos el cambio sustituyendo la ecuación N°38 en la N°44:

picture 49.png

Por ser el coseno una función par:

picture 50.png

El término resaltado en color “rojo” de la ecuación N°45 se cancela, obteniendo que:

picture 51.png

Dado que el resultado de “integrales 2 y 3” es cero, estas se omiten al realizar la suma de los resultados del proceso de integración definida en pro de conseguir el coeficiente “ao”, en este orden de ideas:

picture 52.png

Contextualicemos todos estos conocimientos al caso en estudio.

APLICACIÓN DE LAS SERIES DE FOURIER AL CASO EN ESTUDIO

Basados en la condición de borde del esquema conceptual de la imagen N°03:

picture 53.png

Evaluamos la ecuación N°34 para este tiempo:

picture 54.png

Por lo tanto:

picture 55.png

Dado que “∆σ” es constante en todo el proceso de consolidación, “u” también lo es para el instante de tiempo teóricamente considerado como cero “0”, por lo que es necesario concebir “u” como una suma infinita de términos sinusoidales, dando así la bienvenida a la serie de Fourier:

picture 56.png

Al contrastar la ecuación N°50 con la N°35 (forma general de la serie de Fourier), el problema en estudio sólo tiene el término relativo a la función seno, por lo se reduce a encontrar el coeficiente “bn” (Ec.35), que es el mismo “An” (Ec.50). En el tópico anterior demostramos que al aplicar la técnica de integral definida a cada miembro de la ecuación no nos ayuda a encontrar este coeficiente. Para tal fin, lo que se recomienda es multiplicar ambos lados de la ecuación N°50 por el término:

picture 57.png

Obteniendo lo siguiente:

picture 58.png

Y de este modo proceder a integrar a ambos lados, acotando que los límites de integración, están definidos por el espesor del estrato “ver imágenes N°02 y N°03”

picture 59.png

Procedemos a resolver las integrales resaltadas por los colores “azul” y “verde”:

RESOLVIENDO LA INTEGRAL RESALTADA EN COLOR “AZUL”

En el esquema conceptual de la imagen N°06 se ilustra este procedimiento:

Imagen N°06: solución integral resaltada con el color "azul" (Ec.52)
picture 60.png

Fuente: @eliaschess333, año: 2018. Nota: esquema conceptual elaborado por el autor, con ayuda de las herramientas Microsoft PowerPoint y Paint.

RESOLVIENDO LA INTEGRAL RESALTADA EN COLOR “VERDE” PARA “n≠m”

En primera instancia es necesario rescribir la integral, lo cual se plasma en la siguiente imagen:

Imagen N°07: rescribiendo la integral resaltada en color "verde" (Ec.52), caso “n≠m”
picture 61.png

Fuente: @eliaschess333, año: 2018. Nota: esquema conceptual elaborado por el autor, con ayuda de las herramientas Microsoft PowerPoint y Paint.

Procedemos a resolver la “integral 04”, de la siguiente manera:

Imagen N°08: resolución de la “integral 04”
picture 62.png

Fuente: @eliaschess333, año: 2018. Nota: esquema conceptual elaborado por el autor, con ayuda de las herramientas Microsoft PowerPoint y Paint.

La evaluación de la “integral 04” en los límites resaltados por el color “verde” y que representan el espesor del estrato de suelo, se ilustra a continuación:

Imagen N°09: evaluación de la integral 04
picture 63.png

Fuente: @eliaschess333, año: 2018. Nota: esquema conceptual elaborado por el autor, con ayuda de las herramientas Microsoft PowerPoint y Paint.

En lo que respecta a la “integral 05” tenemos lo siguiente:

Imagen N°10: resolución de la integral 05
picture 64.png

Fuente: @eliaschess333, año: 2018. Nota: esquema conceptual elaborado por el autor, con ayuda de las herramientas Microsoft PowerPoint y Paint.

Evaluamos el resultado en los respectivos límites de integración:

Imagen N°11: evaluación de la “integral 05”
picture 65.png

Fuente: @eliaschess333, año: 2018. Nota: esquema conceptual elaborado por el autor, con ayuda de las herramientas Microsoft PowerPoint y Paint.

Estos resultados parciales se suman, para dar con el resultado de la integral resaltada por el color “verde” en la ecuación N°52; proceso que se muestra en la siguiente imagen:

Imagen N°12: agrupación de resultados
picture 66.png

Fuente: @eliaschess333, año: 2018. Nota: esquema conceptual elaborado por el autor, con ayuda de las herramientas Microsoft PowerPoint y Paint.

Se tiene por lo tanto, que el caso donde “m≠n” no contribuye a encontrar el coeficiente “An” dado que el resultado del proceso de integración es cero.

RESOLVIENDO LA INTEGRAL RESALTADA EN COLOR “VERDE” PARA “n=m”

En el esquema conceptual de la imagen N°13 se rescribe esta integral:

Imagen N°13: rescribiendo la integral resaltada en color "verde" (Ec.52), caso “n=m”
picture 67.png

Fuente: @eliaschess333, año: 2018. Nota: esquema conceptual elaborado por el autor, con ayuda de las herramientas Microsoft PowerPoint y Paint.

La solución de las “integrales 06 y 07” se presenta a continuación:

Imagen N°14: resolución de las integrales 06 y 07
picture 68.png

Fuente: @eliaschess333, año: 2018. Nota: esquema conceptual elaborado por el autor, con ayuda de las herramientas Microsoft PowerPoint y Paint.

Finalmente los resultados de las “integrales 06 y 07” se sustituyen en la integral resaltada en color “verde” de la ecuación N°52, obteniendo lo siguiente:

picture 69.png

ENCONTRANDO EL VALOR DE LAS CONSTANTES DE INTEGRACIÓN

Sustituimos en la ecuación N°52 los resultados de integración, plasmados en el esquema conceptual de la imagen N°06 y de la ecuación N°53:

picture 70.png

Analizando el término resaltado en color “verde” de la ecuación N°54:

picture 71.png

Se concluye por lo tanto que “An” tiene valor cuando “m” es impar, y el resultado en estos casos es dos. Este hecho permite rescribir la ecuación N°54:

picture 72.png

Y ASÍ LLEGAMOS A LA SOLUCIÓN ANALÍTICA DE LA ECUACIÓN DIFERENCIAL

Para tal fin, sustituimos el resultado de “An” en la ecuación N°50

picture 73.png

Rescribimos, tomando al mismo tiempo en consideración de que “n=m”

picture 74.png

De acuerdo a lo planteado en líneas anteriores, es necesario que “m” sea un número impar, por lo tanto podemos establecer la siguiente ecuación:

picture 75.png

En este sentido la ecuación N°57 queda así:

picture 76.png

Se desprende así una nueva forma de presentar el valor de “An”, representada por el término resaltado por el color “rojo” de la ecuación N°59:

picture 77.png

La ecuación N°59 está ajustada a la condición de borde N°02, donde para el instante de tiempo “t=0” el incremento de presiones “∆σ” producto de una carga externa aplicada, es igual al exceso de la presión a la hidrostática “u”. Para cualquier instante de tiempo, tenemos lo siguiente:

picture 78.png

Partiendo del hecho de que “n=m” tenemos:

picture 79.png

Sustituimos el valor de “An” dado en la ecuación N°60 y la forma de presentar “m” según ecuación N°58, llegando así a la solución analítica de la ecuación diferencial de la consolidación unidimensional de los suelos para flujo vertical:

picture 80 corregida.png

CONCLUSIONES

Al analizar detalladamente la solución de la ecuación diferencial en cuestión, se deducen las siguientes ideas:

1.- La variación de la presión en exceso a la hidrostática “u”, está influenciada por el coeficiente de consolidación “Cv”, el cual se encuentra vinculado a propiedades del suelo, como son la permeabilidad “k” y el coeficiente de variación volumétrica “mv”, es decir:

picture 81.png

2.- La baja permeabilidad “k” de las arcillas, repercute directamente en el proceso de disipación de la presión en exceso a la hidrostática.

3.-El incremento de carga “∆σ” es en definitiva lo que propicia el surgimiento de la presión en exceso a la hidrostática “u”; si este valor es cero, esta última también tomará ese valor.

Teniendo la solución general de la ecuación diferencial del fenómeno de consolidación de los suelos, el reto es deducir expresiones de interés que contribuyan al tratamiento de la data obtenida a partir de la realización de este ensayo en un laboratorio de Mecánica de Suelos. En una próxima entrega, profundizaré en este aspecto.

Escribió para ustedes:

@eliaschess333

FUENTES DE INFORMACIÓN CONSULTADAS

1.- BADILLO J. Y RODRÍGUEZ R. 2007. MECÁNICA DE SUELOS TOMO I. FUNDAMENTOS DE LA MECÁNICA DE SUELOS. EDITORIAL LIMUSA S.A. GRUPO NORIEGA EDITORES

2.- BADILLO J. Y RODRÍGUEZ R. 1995. MECÁNICA DE SUELOS TOMO III. FLUJO DE AGUA EN LOS SUELOS. EDITORIAL LIMUSA S.A. GRUPO NORIEGA EDITORES

3.- SIMMONS G.Y ROBERTSON J.1993. ECUACIONES DIFERENCIALES CON APLICACIONES Y NOTAS HISTÓRICAS. SEUNDA EDICIÓN. McGRAW-HILL

LECTURAS RECOMENDADAS

4.- SANTANA E. 2018. ABORDAJE DIDÁCTICO DEL FENÓMENO DE CONSOLIDACIÓN UNIDIMENSIONAL DE LOS SUELOS DESDE UN ENFOQUE MATEMÁTICO CON BASAMENTO EN EL PRINCIPIO DE ESFUERZOS EFECTIVOS Y LA LEY DE PERMEABILIDAD DE DARCY. PARTE I. DISPONIBLE EN: https://steemit.com/stem-espanol/@eliaschess333/ozrzfpbw

Sort:  

Saludos estimado @eliaschess333. Me encanta el enfoque que le das al uso de las matemáticas, dandole un sentido físico a una ecuación diferencial. De verdad que es un gran post.

Compañero @djredimi2, es muy interesante cuando le damos aplicabilidad a las matemáticas para la comprensión de los fenómenos físicos que ocurren a nuestro alrededor. Gracias por el apoyo @djredimi2. Saludos!

Deberías pertenecer al grupo de física jajaja. Hay mucha física en tus posts!

Es un honor la invitación, estoy seguro que aprenderé mucho de ustedes!

Excelente amigo como siempre y la importancia de la ecuación de fourier que tiene y sus distintas aplicaciones , me recuerda cuando me toco ver calculo 5 en la universidad

De acuerdo contigo, son muchas las aplicaciones de las series de Fourier; por ejemplo a través del uso de las mismas, se logró encontrar el valor de las constantes arbitrarias de integración del problema en estudio. Agradecido por el apoyo @gerardoalfred Saludos compañero!

Hi @eliaschess333!

Your post was upvoted by utopian.io in cooperation with steemstem - supporting knowledge, innovation and technological advancement on the Steem Blockchain.

Contribute to Open Source with utopian.io

Learn how to contribute on our website and join the new open source economy.

Want to chat? Join the Utopian Community on Discord https://discord.gg/h52nFrV